AQUA-d: Veröffentlichung zu metakognitiven Einschätzungen beim digital gestützten Lernen in "Learning and Instruction"
Meldung, 28. Januar 2026
Eine aktuelle Arbeit von Jun. Prof. Dr. Marc Philipp Janson aus dem AQUA-d Forschungs- und Nachwuchskolleg wurde in der renommierten Fachzeitschrift Learning and Instruction zur Veröffentlichung angenommen. Kern des Papiers, das in Zusammenarbeit mit Forschenden der Universität Mannheim und der Technischen Universität Darmstadt entstanden ist, ist eine Studie zur Genauigkeit und Vorhersagekraft von sogenannten Judgments of Learning.
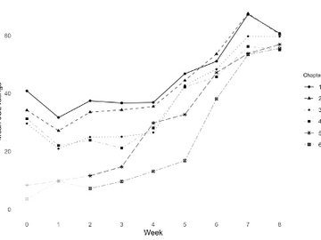
Judgments of Learning (JOLs) bezeichnen metakognitive Einschätzungen von Lernenden darüber, wie gut sie Inhalte oder Aufgaben später beherrschen werden. Während frühere Forschung diese Urteile meist in Laborsituationen untersuchte, analysierte die vorliegende Arbeit ihre Aussagekraft in einem realitätsnahen Kontext: der selbstregulierten Prüfungsvorbereitung mit einem intelligenten Tutorensystem. 90 Lernende nutzten das System über einen längeren Zeitraum zur Vorbereitung auf eine Statistikprüfung und gaben wöchentlich Einschätzungen zu ihrem Lernstand in den einzelnen Kapiteln ab. Die Abbildung zeigt den Verlauf dieser JOLs je Kapitel über den Studienzeitraum hinweg. Die Ergebnisse der Analysen zur Vorhersagekraft von JOLs zeigen, dass diese JOLs sowohl spätere Leistung als auch die investierte Lernanstrengung zuverlässig vorhersagten. Dabei zeigte sich auch, dass Lernende ihre Lernaktivitäten besonders auf die Kapitel allokierten, bei denen sie relativ gesehen geringere JOLs abgaben. Damit liefert die Studie Hinweise darauf, dass Lernende ihren eigenen Lernfortschritt auch in authentischen Lernumgebungen relativ realistisch einschätzen können und ihre Selbstregulation daran ausrichten. Die Arbeit unterstreicht die Bedeutung metakognitiver Prozesse für selbstreguliertes Lernen in digitalen Lernumgebungen und trägt dazu bei, experimentelle Befunde stärker mit der pädagogischen Praxis zu verbinden.
Die Publikation ist open access verfügbar unter: https://www.sciencedirect.com/science/article/pii/S0959475225002178
Janson, M. P., Wissel, S., Ingendahl, F., & Undorf, M. (2026). Judgments of learning in the wild: Establishing ecological validity with an intelligent tutoring system in a field study. Learning and Instruction, 103, 102293. https://doi.org/10.1016/j.learninstruc.2025.102293
Medien
Aktualisiert am 1. April 2026 von Marc Philipp Janson